Chinese
English
首 页
公司简介
产品展示
公司新闻
销售网络
在线订购
联系我们
破碎锤系列
破碎锤油封
破碎锤皮碗
破碎锤备用阀
破碎锤换向阀
破碎锤活塞
破碎锤内外套
破碎锤下缸体
破碎锤短螺杆
破碎锤长螺杆
破碎锤钎杆
破碎锤其他部件
发动机系列
四配套组件
活塞
缸套
活塞环
大小瓦
发动机
缸体
缸盖
大修包
缸床
曲轴
连杆
凸轮轴
气门
座圈
气门导管
发动机其他配件
轴承、齿轮系列
回转支承
齿轮系列
飞轮齿圈
立轴
轴承
电器件系列
自动油门马达
油门马达定位器
转速传感器
压力开关
电器件
电脑板
电脑显示器
电脑板插头
磁力开关/马达继电器
熄火开关
马达、发电机、增压器
启动马达
发电机
增压器
水泵
空调压缩机
输油泵
机油泵
先导泵
三偶件、油封系列
三偶件
喷油嘴
子弹头
油封
O型圈
杯士
么镜
橡胶件系列
连接胶系列
水管/进气管
机脚胶
喇叭口
平行胶/花键
排气支管
手柄总成/防尘套/油门拉杆
皮带涨紧轮
曲轴皮带轮
风叶系列
挖机其他配件
机油散热器盖
机油散热器芯
油水分离器
机油格座
盖系列
锁系列
点火开关
油箱浮子、机油尺
雨刮器总成
节温器、节温器座
打链嘴、万向节、黄油嘴
各种灯具
贴纸、皮带
离合器线圈
暖风电机
冷凝器
蒸发箱
暖风小水箱
膨胀阀、干燥瓶
空调滤芯
液压油散热器
水箱
加油泵
黄油枪
高压油管
增压器油管、机油管
液压件系列
液压件
摩擦片
主炮、副炮
液压件其他
底盘件
消声器
引导轮
链条
链板
支重轮
托带轮
驱动齿
千秋架
涨紧缸
弹簧
其他
驾驶室
玻璃、挖斗
油门线、熄火线
装饰板
斗齿
刀片
销子
油缸类
首页
>
产品中心
>
轴承、齿轮系列
> 回转支承
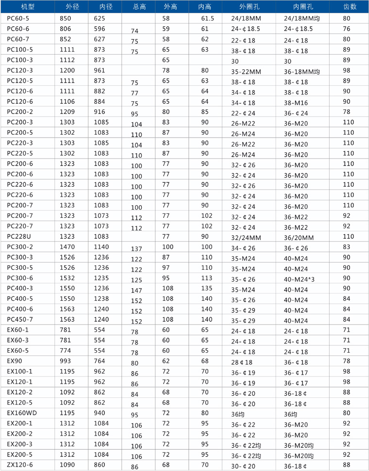
回转支承
Copyright © 2026 广州汇联机械设备有限公司
地址:广州市黄埔区中山大道东389号之一层 电话:+86-139 2410 9994 技术支持:
Ljun.net